Elastisitas Harga Permintaan
Elastisitas harga permintaan mengukur seberapa banyak permintaan barang dan jasa (konsumsi) berubah ketika harganya berubah. Elastisitas permintaan ditunjukkan dalam bentuk prosentase perubahan atas kuantitas yang diminta sebagai akibat dari satu persen perubahan harga.
Koefisien Elastisitas Permintaan
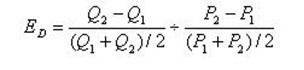
Perhitungan koefisien elastisitas permintaan dengan menggunakan metode mid point adalah sebagai berikut :
Ed = % perubahan kuantitas diminta / % perubahan harga,
Keterangan :
ED = Elastisitas permintaan
Q2 = Kuantitas permintaan setelah perubahan
Q1 = Kuantitas permintaan awal
P2 = Harga setelah perubahan
P1 = Harga awal
Dalam perhitungan koefisien elastisitas ini, angka minus tidak perlu ditulis karena kita telah mengetahui bahwa antara harga dan permintaan berslope negatif. Artinya, kenaikan harga akan menurunkan permintaan, dan sebaliknya (hukum permintaan).
Contoh : Apabila harga es krim naik dari $2 menjadi $2,2 dan jumlah pembelian turun dari 10 batang menjadi 8 batang, maka elastsitas permintaan dihitung sebagai
Koefisien sebesar 2,32 menunjukkan bahwa perubahan harga sebesar 1 persen akan menimbulkan perubahan permintaan sebesar 2,32 %. Elastisitas permintaan memiliki hubungan negatif (arahnya berbalikan), yaitu ketika harga naik permintaan akan turun, vice versa.
Jenis-jenis Elastisitas Permintaan
Ada lima jenis elastisitas permintaan :
Permintaan tidak elastis sempurna : elastisitas = 0. Perubahan harga tidak mempengaruhi jumlah yang diminta. Dengan demikian, kurvanya berbentuk vertikal. Kurva berbentuk vertikal ini berarti bahwa berapapun harga yang ditawarkan, kuantitas barang/jasa tetap tidak berubah. Contoh barang yang permintaannya tidak elastis sempurna adalah tanah (meskipun harganya naik terus, kuantitas yang tersedia tetap terbatas), lukisan milik pelukis yang telah meninggal (berapapun harga yang ditawar atas lukisan, pelukis tersebut tidak akan mampu menambah kuantitas lukisannya), dan contoh lainnya yang sejenis.
Permintaan tidak elastis : elastisitas < 1. Prosentase perubahan kuantitas permintaan < dari prosentase perubahan harga. Contoh permintaan tidak elastis ini dapat dilihat diantaranya pada produk kebutuhan. Misalnya beras, meskipun harganya naik, orang akan tetap membutuhkan konsumsi beras sebagai makanan pokok. Karenanya, meskipun mungkin dapat dihemat penggunaannya, namun cenderung tidakakan sebesar kenaikan harga yang terjadi. Sebaliknya pula, jika harga beras turun konsumen tidak akan menambah konsumsinya sebesar penurunan harga. Ini karena konsumsi beras memiliki keterbatasan (misalnya rasa kenyang). Contoh lainnya yang sejenis adalah bensin. Jika harga bensin naik, tingkat penurunan penggunaannya biasanya tidak sebesar tingkat kenaikan harganya. Ini karena kita tetap membutuhkan bensin untuk bepergian. Sama halnya, ketika harganya turun, kita juga tidak mungkin bepergian terus menerus demi menikmati penurunan harga tersebut. Karakteristik produk yang seperti ini mengakibatkan permintaan menjadi tidak elastis.
Permintaan uniter elastis : elastisitas = 1. Prosentase perubahan kuantitas permintaan = prosentase perubahan harga. Contoh produk yang elastisitasnya uniter tidak dapat disebutkan secara spesifik. Jenis permintaan ini sebenarnya lebih sebagai pembatas antara permintaan elastis dan tidak elastis, sehingga belum tentu ada produk yang dapat dikatakan memiliki permintaan uniter elastis.
Permintaan elastis : elastisitas > 1. Prosentase perubahan kuantitas permintaan > prosentase perubahan harga. Ini sering terjadi pada produk yang mudah dicari substitusinya. Misalnya saja pakaian, makanan ringan, dan lain sebagainya. Ketika harganya naik, konsumen akan dengan mudah menemukan barang penggantinya.
Permintaan elastis sempurna : elastisitas tak terhingga. Dimana pada suatu harga tertentu pasar sanggup membeli semua barang yang ada di pasar. Namun, kenaikan harga sedikit saja akan menjatuhkan permintaan menjadi 0. Dengan demikian, kurvanya berbentuk horisontal. Contoh produk yang permintaannya bersifat tidak elastis sempurna diantaranya barang/jasa yang bersifat komoditi, yaitu barang/jasa yang memiliki karakteristik dan fungsi sama meskipun dijual di tempat yang berbeda atau diproduksi oleh produsen yang berbeda. Dengan demikian, secara nalar barang/jasa tersebut seharusnya memiliki harga yang sama pula. Misalnya saja paperclip dan pen tinta biasa (seperti pen merek S dan P yang rata-rata berharga 1000-1500). Jika kita pergi ke supermarket untuk membeli paperclip, misalnya, kita cenderung tidak akan memperhatikan perbedaan merek. Satu-satunya yang sering kita jadikan bahan perbandingan adalah harga, dimana kita akan membeli paperclip yang harganya paling murah (atau pada harga rata-rata yang diterima pasar). Akibatnya, bagi perusahaan yang menjual paperclip diatas harga rata-rata, permintaan akan barangnya akan turun ke nol. Ini karena semua paperclip, meskipun harganya berbeda-beda, memberikan fungsi yang sama.
Faktor Penentu Elastisitas Permintaan
Ada empat faktor utama dalam menentukan elastisitas permintaan :
1. Produk substitusi.
Semakin banyak produk pengganti (substitusi), permintaan akan semakin elastis. Hal ini dikarenakan konsumen dapat dengan mudah berpindah ke produk substitusi jika terjadi kenaikan harga, sehingga permintaan akan produk akan sangat sensitif terhadap perubahan harga.
2. Prosentase pendapatan yang dibelanjakan.
Semakin tinggi bagian pendapatan yang digunakan untuk membelanjakan produk tersebut, maka permintaan semakin elastis. Produk yang harganya mahal akan membebani konsumen ketika harganya naik, sehingga konsumen akan mengurangi permintaannya. Sebaliknya pada produk yang harganya murah.
3. Produk mewah versus kebutuhan.
Permintaan akan produk kebutuhan cenderung tidak elastis, dimana konsumen sangat membutuhkan produk tersebut dan mungkin sulit mencari substitusinya. Akibatnya, kenaikan harga cenderung tidak menurunkan permintaan. Sebaliknya, permintaan akan produk mewah cenderung elastis, dimana barang mewah bukanlah sebuah kebutuhan dan substitusinya lebih mudah dicari. Akibatnya, kenaikan harga akan menurunkan permintaan.
4. Jangka waktu permintaan dianalisis.
Semakin lama jangka waktu permintaan dianalisis, semakin elastis permintaan akan suatu produk. Dalam jangka pendek, kenaikan harga yang terjadi di pasar mungkin belum disadari oleh konsumen, sehingga mereka tetap membeli produk yang biasa dikonsumsi. Dalam jangka panjang, konsumen telah menyadari kenaikan harga, sehingga mereka akan pindah ke produk substitusi yang tersedia. Selain itu, dalam jangka panjang kualitas dan desain produk juga berubah, sehingga lebih mudah menyebabkan konsumen pindah ke produk lain.
Elastisitas dan Total Penerimaan (penjual/produsen)
Elastisitas permintaan mempengaruhi total penerimaan yang diterima oleh penjual ataupun produsen. Hubungan keduanya adalah sebagai berikut :
Permintaan tidak elastis sempurna (= 0), perubahan harga tidak mempengaruhi kuantitas yang diminta atas barang. Dengan demikian, kenaikan harga akan meningkatkan total penerimaan, vice versa.
Permintaan tidak elastis (< 1), prosentase perubahan kuantitas yang diminta < dari prosentase perubahan harga. Oleh karena itu, kenaikan harga akan meningkatkan total penerimaan penjual/produsen, vice versa.
Permintaan uniter elastis (= 1), prosentase perubahan kuantitas = prosentase perubahan harga. Dengan demikian, tidak ada pengaruh terhadap total penerimaan.
Permintaan elastis (> 1), prosentase perubahan kuantitas yang diminta > dari prosentase perubahan harga. Oleh karenanya, kenaikan harga akan menurunkan total penerimaan penjual/produsen, vice versa.
Permintaan elastis sempurna (tak terhingga), kenaikan harga akan menyebabkan permintaan turun jadi 0. Oleh karenanya, kenaikan harga sekecil apapun akan menghilangkan total penerimaan. Sementara penurunan harga akan menurunkan total penerimaan.
Pembuktian akan hubungan antara hubungan antara elastisitas dan total penerimaan ini dapat disimulasikan sendiri dengan menentukan koefisien elastisitas sebuah produk.
Elastisitas Permintaan Silang
Elastisitas permintaan silang mengukur bagaimana perubahan kuantitas yang diminta atas sebuah produk mempengaruhi harga produk lainnya. Perhitungannya adalah sebagai berikut :
Keterangan :
EA,B = elastisitas silang antara produk A dan B
P1B = harga awal produk B
P2B = harga produk B setelah perubahan
ΔQA = kenaikan permintaan produk A
Q1A = kuantitas permintaan awal produk A
Q2A = kuantitas permintaan produk A setelah harga produk B berubah
ΔPB = kenaikan harga produk B
Elastisitas silang berhubungan dengan karakteristik kedua produk, yaitu :
1. Produk substitusi.
Elastisitas permintaan silang adalah positif, dimana kenaikan harga produk A akan menaikkan permintaan atas produk B. Contoh produk substitusi : minyak tanah dan kayu bakar, makanan ringan yang tersedia dalam berbagai merek, beras berkualitas sama mereak A dan B, dan lain sebagainya.
2. Produk komplementer.
Elastisitas permintaan silang adalah negatif , dimana kenaikan harga produk A akan menurunkan permintaan produk B, vice versa. Contoh produk komplementer misalnya bensin dan mobil (mobil tidak dapat digunakan tanpa bensin). Jika harga bensin naik, permintaan akan mobil akan cenderung turun.
Elastisitas Permintaan Pendapatan (pembeli/konsumen)
Elastisitas permintaan pendapatan (elastisitas pendapatan) mengukur bagaimana kuantitas permintaan merespon terhadap perubahan pendapatan pembeli. Rumus perhitungannya adalah :
Elastisitas pendapatan = % perubahan kuantitas diminta / % perubahan pendapatan
Elastisitas pendapatan ditentukan oleh jenis produk, yaitu :
1. Produk normal.
Elastisitas pendapatan adalah positif. Misalnya, permintaan akan produk normal akan meningkat jika pendapatan meningkat. Contoh ekstrimnya adalah beras, dapat digantikan dengan ubi sebagai produk inferiornya.
2. Produk inferior.
Elastisitas pendapatan adalah negatif. Misalnya, permintaan akan produk inferior akan menurun jika pendapatan meningkat.
home.png)

.png)


.png)
Home
Post a Comment